刷题日志--数论 6.9
质数的判定—试除法
时间复杂度:O(sqrt(n))
判断条件为 i <= n / i;
这种写法比根号n要快一点
同时注意也不能写成 i * i <= n; 当n接近于21亿时,i * i可能会溢出1
2
3
4
5
6
7boolean isPrime(int n) {
if (n < 2) return false;
for (int i = 2; i <= n / i; i++) {
if (n % i == 0) return false;
}
return true;
}
分解质因数—试除法
苏教版小学五年级的数学知识,我连小学生都不如
算术基本定理,又称为正整数的唯一分解定理,即:每个大于1的自然数均可写为质数的积,而且这些素因子按大小排列之后,写法仅有一种方式。
例如84分解质因数为:$2^2 * 3 * 7$,即2出现了2次,3出现了1次,7出现了1次
1 | static void divide(int n) { |
由于n中至多包含一个大于sqrt(n)的因子(反证法:如果存在两个大于sqrt(n)的因子,那他俩乘积必然大于n,故不成立),所以我们可以把遍历范围设置成 2 - sqrt(n),如果试除法除到最后的n,仍然大于1,则其就是最后一个因子
将O(n)的时间复杂度降低到 $O(logn)$ ~ $O(sqrt(n))$ 之间1
2
3
4
5
6
7
8
9
10
11
12
13static void divide(int n) {
for (int i = 2; i <= Math.sqrt(n); i++) {
if (n % i == 0) {
int count = 0;
while (n % i == 0) {
count++;
n /= i;
}
System.out.println(i + " " + count);
}
}
if (n > 1) System.out.println(n + " " + 1);
}
筛质数
最普通的筛法 O(nlogn)
从2开始枚举每一个数,将每个数的倍数都筛掉1
2
3
4
5
6
7
8
9
10
11
12
13
14
15
16
17
18
19
20
21
22
23
24public class Main {
static int N = 1000010;
static int cnt; //用来计数
static int[] primes = new int[N]; //用来存放质数
static boolean[] isPass = new boolean[N]; //用来判断当前数是否已经被pass掉了(不是质数)
public static void main(String[] args) {
getPrime(100);
System.out.println(cnt);
for (int i = 0; i < cnt; i++) {
System.out.print(primes[i] + " ");
}
}
static void getPrime(int n) {
for (int i = 2; i <= n; i++) {
if (isPass[i] == false) //如果当前数没被pass掉,那它就是质数
primes[cnt++] = i; //将其存入数组中
for (int j = i; j <= n; j += i) { //将每一个数的倍数都pass掉,肯定不是质数
isPass[j] = true;
}
}
}
}
埃氏筛 O(nloglogn)
在上面的做法上进行一些优化,不用将每一个数的倍数都筛掉,只将每一个质数的倍数筛掉就可以了1
2
3
4
5
6
7
8
9
10
11
12
13
14
15
16
17
18
19
20
21
22
23
24public class Main {
static int N = 1000010;
static int[] primes = new int[N];
static int cnt;
static boolean[] isPass = new boolean[N];
public static void main(String[] args) {
getPrime(100);
System.out.println(cnt);
for (int i = 0; i < cnt; i++) {
System.out.print(primes[i] + " ");
}
}
static void getPrime(int n) {
for (int i = 2; i <= n; i++) {
if (isPass[i] == false) {
primes[cnt++] = i;
for (int j = i; j <= n; j += i)
isPass[j] = true;
}
}
}
}
约数
试除法求约数
1 | import java.util.ArrayList; |
约数个数
任何一个大于1的自然数 ,如果N不为质数,都可以唯一分解成有限个质数的乘积
其中
且均为质数
定理应用
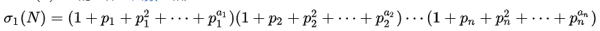
一个大于1的正整数N,如果它的标准分解式为:
那么它的正因数个数为
它的全体正因数之和为
在分解质因数的时候,我们其实就已经求出了任意正整数N的标准分界式
1 | static int getNumOfFactors(int n) { |
1 | static void divide(int n) { |
为了和下面的约数之和统一一下版本,写了个Hashmap版的1
2
3
4
5
6
7
8
9
10
11
12
13
14
15
16
17static int getNumOfFactors(int x) {
int res = 1;
HashMap<Integer, Integer> map = new HashMap<>();
for (int i = 2; i <= x / i; i++) {
int count = 0;
while (x % i == 0) {
x /= i;
count++;
}
map.put(i, count);
}
if (x > 1) map.put(x, 1);
for (int c : map.values()) {
res *= c + 1;
}
return res;
}
约数之和
直接套用公式就好了
基数为1,每次乘上p + 1,那么就会依次得到
p + 1
p^2 + p
p^3 + p^2 + p
···
1 | static long getSumOfFactors(int x) { |
最大公约数
辗转相除法(欧几里得算法)1
2
3static int gcd(int a, int b) {
return b == 0 ? a : gcd(b, a % b);
}
最小公倍数公式 lcm = a * b / (gcd(a, b))






